나비 효과는 복잡한 시스템에서 초기 조건의 작은 변화가 예상치 못한 큰 결과를 초래할 수 있다는 개념입니다. 이 현상은 우리의 일상생활부터 글로벌 경제, 기후 변화에 이르기까지 다양한 분야에서 관찰됩니다. 본 글에서는 나비 효과의 개념, 역사적 배경, 실제 사례, 그리고 이를 통해 얻을 수 있는 교훈에 대해 자세히 살펴보겠습니다.

🍀 나비 효과의 정의와 역사적 배경
나비 효과는 1960년대 미국의 기상학자 에드워드 로렌즈(Edward Lorenz)에 의해 처음 제안된 개념입니다.
로렌즈는 기상 예측 모델을 연구하던 중 초기 조건의 미세한 차이가 완전히 다른 날씨 패턴을 생성하는 것을 발견했습니다.
이로 인해 "브라질에서의 나비의 날갯짓이 텍사스에서 토네이도를 일으킬 수 있다"는 유명한 비유가 탄생했습니다.
나비 효과는 혼돈 이론(Chaos Theory)의 핵심 요소 중 하나로 자리 잡았습니다.
혼돈 이론은 복잡한 시스템에서 예측 불가능한 패턴이 어떻게 발생하는지를 설명하는 이론입니다.
이 이론에 따르면, 시스템의 초기 조건에 대한 작은 변화가 시간이 지남에 따라 시스템 전체에 큰 영향을 미칠 수 있습니다.
나비 효과의 개념은 과학적 이론에 그치지 않고, 우리의 일상생활과 사회 전반에 걸쳐 중요한 의미를 지니고 있습니다.
개인의 작은 선택이나 사회적 행동이 장기적으로 큰 영향을 미칠 수 있다는 것을 상기시켜줍니다.
우리는 일상적인 의사결정이나 행동에서도 그 결과를 충분히 고려해야 합니다.
🍀 나비 효과의 과학적 원리
나비 효과의 과학적 원리를 이해하기 위해서는 비선형 시스템에 대한 이해가 필요합니다.
비선형 시스템은 입력과 출력 사이의 관계가 단순한 비례 관계가 아닌 복잡한 시스템을 말합니다.
이러한 시스템에서는 작은 변화가 예측 불가능한 결과를 초래할 수 있습니다.
로렌츠는 이를 수학적으로 설명하기 위해 로렌츠 방정식을 개발했습니다.
이 방정식은 세 개의 변수로 이루어진 간단한 비선형 미분방정식 시스템입니다.
로렌츠는 이 방정식을 통해 초기 조건의 미세한 차이가 시간이 지남에 따라 어떻게 증폭되는지를 보여주었습니다.
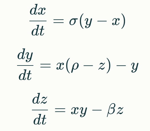
로렌츠 방정식은 다음과 같습니다:

여기서 x, y, z는 시스템의 상태를 나타내는 변수이고, σ, ρ, β는 시스템 매개변수입니다.
이 방정식의 해를 그래프로 나타내면 나비 모양의 이상한 끌개(strange attractor)가 형성됩니다.
이 그래프는 시스템의 상태가 시간에 따라 어떻게 변화하는지를 보여주며, 초기 조건의 작은 차이가 어떻게 완전히 다른 결과로 이어지는지를 시각적으로 보여줍니다.
나비 효과는 기상학뿐만 아니라 생태학, 경제학, 사회학 등 다양한 분야에서 관찰됩니다.
예를 들어, 생태계에서 한 종의 멸종이 전체 생태계의 균형을 무너뜨릴 수 있고, 경제 시스템에서 작은 정책 변화가 예상치 못한 경제적 결과를 초래할 수 있습니다.
🍀 나비 효과의 실제 사례
나비 효과는 역사적으로 여러 가지 사례를 통해 확인할 수 있습니다.
작은 사건이나 결정이 장기적으로 예상치 못한 결과를 초래한 경우들을 살펴보겠습니다.
🦋 제1차 세계 대전의 발발
제1차 세계 대전의 발발은 나비 효과의 대표적인 사례 중 하나입니다.
1914년 6월 28일, 오스트리아-헝가리 제국의 황태자 프란츠 페르디난트가 사라예보에서 암살당한 사건이 발생했습니다.
이 작은 사건이 유럽 전역에 걸쳐 연쇄 반응을 일으켜 결국 세계 대전으로 이어졌습니다.
당시 유럽은 복잡한 동맹 체제와 긴장 관계로 얽혀 있었습니다.
황태자의 암살은 오스트리아-헝가리 제국이 세르비아에 선전 포고를 하는 계기가 되었고, 이는 러시아의 개입을 불러왔습니다.
러시아의 개입은 다시 독일의 참전으로 이어졌고, 프랑스와 영국도 전쟁에 가담하게 되었습니다.
결과적으로 한 사람의 암살 사건이 전 세계적인 대규모 전쟁으로 확대된 것입니다.
이 사례는 국제 관계의 복잡성과 상호 연결성을 잘 보여줍니다.
작은 사건 하나가 전 세계적인 대규모 전쟁을 일으킨 것은 나비 효과의 극단적인 예시라고 할 수 있습니다.
🦋 1970년대 오일 쇼크
1970년대 오일 쇼크도 나비 효과의 또 다른 사례로 볼 수 있습니다.
중동 지역의 정세 불안과 석유 생산국들의 가격 인상 결정이 세계 경제에 큰 충격을 주었습니다.
1973년, 제4차 중동 전쟁(욤 키푸르 전쟁)이 발발했습니다.
이에 대응하여 아랍 석유수출국기구(OAPEC)는 이스라엘을 지지하는 국가들에 대한 석유 수출을 중단하기로 결정했습니다.
이로 인해 국제 유가가 급등하게 되었고, 이는 전 세계 경제에 큰 영향을 미쳤습니다.
오일 쇼크로 인해 글로벌 경제는 스태그플레이션(stagflation, 경기 침체와 인플레이션이 동시에 발생하는 현상)을 겪었습니다.
이는 여러 국가들의 경제 정책과 산업 구조에 장기적인 영향을 미쳤습니다.
많은 국가들이 에너지 효율성을 높이고 대체 에너지원을 개발하는 정책을 추진하게 되었습니다.
이 사례는 글로벌 경제의 상호 연결성과 에너지 자원의 중요성을 잘 보여줍니다.
특정 지역의 정치적 결정이 전 세계 경제에 큰 파장을 일으킬 수 있다는 점에서 나비 효과의 특성을 잘 드러냅니다.
🦋 2008년 글로벌 금융 위기
2008년 글로벌 금융 위기는 미국의 부동산 시장에서 시작된 작은 문제들이 전 세계 금융 시스템에 큰 파장을 일으킨 사례입니다.
이 위기의 시작은 미국의 서브프라임 모기지(고위험 주택담보대출) 시장에서 비롯되었습니다.
2000년대 초반, 미국의 저금리 정책과 느슨한 대출 기준으로 인해 많은 사람들이 주택 대출을 받았습니다.
그러나 이후 금리가 상승하고 주택 가격이 하락하면서 많은 사람들이 대출금을 상환하지 못하게 되었습니다.
이 문제는 처음에는 미국 경제 내에서만 국한될 문제로 여겨졌습니다.
그러나 금융 상품의 글로벌화로 인해 이 문제가 유럽과 아시아를 포함한 전 세계 금융 시장으로 확산되었습니다.
많은 금융 기관들이 서브프라임 모기지와 연관된 복잡한 금융 상품에 투자하고 있었기 때문입니다.
결과적으로 이는 글로벌 금융 위기를 초래하게 되었습니다.
많은 금융 기관들이 파산하거나 정부의 구제 금융을 받아야 했고, 전 세계적으로 경제 침체가 발생했습니다.
이 위기는 금융 규제, 경제 정책, 국제 협력 등 다양한 분야에 장기적인 영향을 미쳤습니다.
이 사례는 현대 금융 시스템의 복잡성과 상호 연결성을 잘 보여줍니다.
한 국가의 특정 시장에서 발생한 문제가 어떻게 전 세계적인 경제 위기로 확대될 수 있는지를 나비 효과의 관점에서 설명할 수 있습니다.
🦋 아라비아의 봄(Arab Spring)
2010년에 시작된 아라비아의 봄은 나비 효과의 현대적 사례 중 하나입니다.
이 사건의 시작은 튀니지의 한 청년, 모하메드 부아지지의 분신자살이었습니다.
부아지지는 생계 수단이었던 노점을 경찰에 의해 빼앗긴 후 항의의 표시로 분신을 선택했습니다.
이 사건은 튀니지에서 대규모 반정부 시위를 촉발했고, 결국 23년간 집권해온 벤 알리 대통령의 하야로 이어졌습니다.
튀니지에서 시작된 이 움직임은 이후 중동과 북아프리카 지역 전반으로 확산되었습니다.
이집트, 리비아, 예멘 등 여러 국가에서 대규모 시위와 정권 교체가 일어났습니다.
이 과정에서 일부 국가들은 내전을 겪기도 했습니다.
아라비아의 봄은 단순히 정치적 변화에 그치지 않고 해당 지역의 사회, 경제, 문화 전반에 걸쳐 큰 영향을 미쳤습니다.
또한 이 사건은 소셜 미디어의 역할, 청년층의 정치 참여, 민주주의와 인권에 대한 논의 등 다양한 측면에서 전 세계적인 관심을 불러일으켰습니다.
이 사례는 한 개인의 행동이 어떻게 전 지역의 정치적, 사회적 지형을 바꿀 수 있는지를 보여줍니다.
작은 사건이 연쇄적으로 확산되어 예상치 못한 큰 변화를 일으켰다는 점에서 나비 효과의 특성을 잘 보여줍니다.
🍀 나비 효과가 우리 삶에 미치는 영향
나비 효과는 우리의 일상생활에서도 자주 관찰됩니다.
개인의 작은 선택이나 행동이 예상치 못한 결과를 가져올 수 있다는 점에서 우리의 삶과 밀접한 관련이 있습니다.
🦋 개인의 선택과 행동
우리가 매일 하는 작은 선택들이 장기적으로 큰 영향을 미칠 수 있습니다.
건강한 식습관을 유지하기로 한 결정은 단기적으로는 큰 변화를 가져오지 않을 수 있지만, 장기적으로는 건강 상태, 의료비 지출, 삶의 질 등에 큰 영향을 미칠 수 있습니다.
또한, 우리의 작은 행동이 다른 사람들에게 영향을 미칠 수 있습니다.
길거리에서 누군가에게 친절한 행동을 하면, 그 사람은 기분이 좋아져 다른 사람들에게도 친절하게 대할 수 있습니다.
이러한 선행의 연쇄 반응은 사회 전체의 분위기를 바꿀 수 있습니다.
🦋 사회적 관계와 네트워크
나비 효과는 우리의 사회적 관계와 네트워크에서도 중요한 역할을 합니다.
소셜 네트워크 이론에 따르면, 우리는 평균적으로 6단계만 거치면 전 세계 누구와도 연결될 수 있다고 합니다.
이는 우리의 행동이나 정보가 예상보다 훨씬 더 멀리, 더 빠르게 퍼질 수 있다는 것을 의미합니다.
소셜 미디어에서 공유한 정보가 바이럴(viral)이 되어 전 세계적으로 퍼지는 경우를 종종 볼 수 있습니다.
개인의 작은 행동(정보 공유)이 어떻게 글로벌한 영향을 미칠 수 있는지를 보여주는 좋은 예시입니다.
🦋 기업과 조직에서의 나비 효과
기업이나 조직에서도 나비 효과는 중요한 의미를 갖습니다.
작은 정책 변화나 의사결정이 조직 전체에 큰 영향을 미칠 수 있기 때문입니다.
한 기업이 직원들의 근무 환경을 개선하기 위해 작은 변화를 도입했다고 가정해 봅시다.
직원들의 만족도와 생산성 향상으로 이어질 수 있고, 결과적으로 기업의 성과 개선과 기업 문화의 변화까지 가져올 수 있습니다.
기업의 작은 실수나 부주의가 큰 위기로 이어질 수도 있습니다.
제품의 작은 결함을 간과했다가 대규모 리콜 사태로 이어지는 경우가 있습니다.
기업의 재무적 손실뿐만 아니라 브랜드 이미지에도 큰 타격을 줄 수 있습니다.
🦋 환경과 생태계에서의 나비 효과
환경과 생태계에서도 나비 효과는 중요한 의미를 갖습니다.
작은 환경 변화가 전체 생태계에 큰 영향을 미칠 수 있기 때문입니다.
특정 지역에서 한 종의 동물이 사라지면 그 지역의 먹이 사슬 전체가 영향을 받을 수 있습니다.
이는 다른 종의 개체 수 변화로 이어지고, 결국 전체 생태계의 균형이 무너질 수 있습니다.
기후 변화도 나비 효과의 관점에서 이해할 수 있습니다.
지구 평균 기온의 작은 상승이 극지방의 빙하 융해, 해수면 상승, 기상 이변 등 전 지구적인 환경 변화를 초래할 수 있습니다.
🍀 나비 효과의 의의와 시사점
나비 효과는 우리에게 여러 가지 중요한 교훈을 줍니다.
🦋 책임감 있는 행동의 중요성
나비 효과는 우리의 작은 행동이 예상치 못한 큰 결과를 가져올 수 있다는 점을 상기시켜줍니다.
우리가 일상생활에서 더욱 책임감 있게 행동해야 한다는 것을 의미합니다.
우리의 선택과 행동이 다른 사람들과 환경에 어떤 영향을 미칠 수 있는지 항상 고려해야 합니다.
🦋 장기적 관점의 필요성
나비 효과는 단기적으로는 미미해 보이는 변화가 장기적으로는 큰 영향을 미칠 수 있다는 점을 보여줍니다.
의사결정을 할 때 단기적인 결과뿐만 아니라 장기적인 영향도 고려해야 합니다.
개인의 삶에서뿐만 아니라 기업 경영, 정책 수립 등에서도 중요한 시사점을 제공합니다.
🦋 복잡성과 불확실성의 인정
나비 효과는 세상이 얼마나 복잡하고 예측하기 어려운지를 보여줍니다.
모든 것을 완벽하게 통제하거나 예측할 수 없다는 것을 인정해야 합니다.
우리가 더욱 유연하고 적응력 있게 행동해야 한다는 것을 의미합니다.
🦋 긍정적 변화의 가능성
나비 효과는 작은 행동이 큰 변화를 만들어낼 수 있다는 희망적인 메시지도 전달합니다.
작은 노력이 예상치 못한 긍정적인 결과로 이어질 수 있다는 점에서, 개인과 사회의 발전을 위한 동기부여가 될 수 있습니다.
🦋 시스템적 사고의 중요성
나비 효과는 세상을 개별적인 요소들의 집합이 아닌 상호 연결된 시스템으로 바라보는 것의 중요성을 강조합니다.
문제를 해결할 때 전체적인 맥락과 다양한 요소들 간의 상호작용을 고려해야 한다는 것을 의미합니다.
나비 효과는 우리 주변의 복잡한 시스템에서 작은 변화가 어떻게 큰 결과로 이어질 수 있는지를 보여주는 중요한 개념입니다. 우리의 일상생활부터 글로벌 경제, 환경 문제에 이르기까지 다양한 분야에 적용될 수 있습니다. 나비 효과를 이해함으로써 우리는 더욱 책임감 있고 장기적인 관점에서 행동할 수 있으며, 복잡한 세상을 더 잘 이해하고 대처할 수 있습니다.